Dynamic mechanical analysis (DMA) allows for the evaluation of states from low to high temperatures.
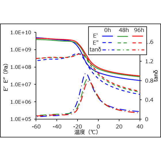
This introduces the evaluation of thermally degraded rubber using dynamic viscoelastic measurements. A constant temperature bath capable of circulating air within the chamber was used as a suitable device for thermal degradation testing, heating NBR rubber and EPDM rubber at 100°C for a specified duration. The changes in viscoelastic behavior due to heating time were investigated. For both types of rubber, as the heating time increased, the tanδ (= E"/E') peak shifted towards the high-temperature side, and a decrease in peak value was observed. It is believed that the loss of rubber elasticity and the decrease in elastic modulus resulted in the Tg shifting towards the high-temperature side. By measuring dynamic viscoelasticity, it becomes possible to confirm the changes in physical properties associated with material degradation and to gain insights into structural changes. Additionally, conducting other chemical analyses can clarify more specific changes in chemical structure. 【Test Overview】 ■ A constant temperature bath capable of circulating air within the chamber was used ■ NBR rubber and EPDM rubber were heated at 100°C for a specified duration ■ Changes in viscoelastic behavior due to heating time were investigated *For more details, please download the PDF or feel free to contact us.
Inquire About This Product
basic information
For more details, please download the PDF or feel free to contact us.
Price range
Delivery Time
Applications/Examples of results
For more details, please download the PDF or feel free to contact us.
catalog(7)
Download All CatalogsNews about this product(1)
Company information
Aites was established in 1993, originating from the quality assurance department of the IBM Japan Yasu office. Based on the technical expertise cultivated through cutting-edge defect analysis and reliability assurance of electronic components at the IBM Japan Yasu office, we have provided various products and services that support the development and manufacturing of semiconductors, displays, organic EL, solar cells, and electronic components to customers both domestically and internationally.





![[Analysis Case] Metal Corrosion Test of Water-Soluble Cutting Oil](https://image.www.ipros.com/public/product/image/5e2/2000478480/IPROS99910686047567191763.png?w=280&h=280)


